机械类产品装配中,零件与零件之间主要依靠紧固件联接。其中螺纹紧固件应用最为广泛,紧固件的性能及联接效果直接影响到产品的性能和安全以及使用寿命。紧固件的失效是常见机械类产品质量问题产生的原因,因此螺纹紧固件失效模式的潜在原因分析,对产品的质量提升有重要的意义。
一、螺纹紧固件常见的失效模式
在我们工作中遇到的螺纹紧固件主要的失效模式看分为:
①装配拧拉断裂;
②螺纹受剪切力拧断;
③应力集中部位使用后断裂;
④疲劳断裂;
⑤延时断裂;
⑥零件扭矩报警;
⑦螺纹滑牙。
二、常见失效模式的原因分析
2.1 装配拧拉断裂
拧拉断裂特征为断裂部位明显缩颈伸长,造成拧拉断裂的常见原因主要是由于联接面摩擦系数过小;拧紧或预紧时施加的扭矩过大、施加扭矩时套筒与螺纹不同轴、施加扭矩时速度过快;零件本身的性能强度不够以及紧固面与螺纹中心线垂直度超差。
2.2螺纹受剪切力拧断
受剪切力拧断的断口部位一般有螺旋状,无明显缩颈,造成螺纹受剪切力拧断的常见原因是由于螺纹在拧紧过程中被卡死,例如:螺纹变形、相互联接的牙型不一致、螺纹有焊渣灯情况;螺栓拧进的断面被顶住,如螺母为盲孔的有效螺纹深度不够。
2.3应力集中部位使用后断裂
应力集中部位使用后断裂常见表现在螺栓头部及头部与螺纹杆过度的直角部位,造成应力集中部位断裂的常见原因为头部与螺纹杆过度的直角部位圆角过小;螺栓冷镦成型时在头部的塑性流线存在缺陷。被联接面与螺栓垂直度超差。
2.4疲劳断裂
在螺栓连接后使用的过程中主要的断裂为疲劳断裂,造成疲劳断裂的常见原因有:预紧力不足;夹紧力衰减过大;螺栓尺寸、性能不合格;零件之间的相互配合、装配环境、使用工况不能满足设计要求。
2.5延时断裂
延时断裂常见原因为氢脆,氢脆是在生产过程(如电镀、焊接)中进入钢材内部的微量氢,在内部残余的或外加的应力作用下导致材料脆化甚至开裂。常见易发生氢脆的紧固件有:自攻钉/弹性垫圈/8级以上的经过电镀表面处理的螺栓。
2.6 零件扭矩报警
零件扭矩报警常见发生在通过角度法控制扭矩的螺栓装配过程中。造成紧固件扭矩报警失效模式及原因有:在装配完成后,零件的最终扭矩,高于控制上限或低于控制下限:原因为零件的装配扭矩控制范围不合理,表现为设定控制范围过小、控制范围往上或往下偏移.如图1所示,其中f上、f下为摩擦系数。
没有预紧到预设角度,扭矩达到上限报警:原因为零件本身摩擦系数超上限、零件配合摩擦系数超上限、零件之间干涉,造成装配扭矩急剧上升。
正常装配,扭矩下限报警:原因为零件本身摩擦系数超下限或零件配合摩擦系数超下限.零件拧入时贴合扭矩大于初始扭矩(也即拧入力矩消耗过大),常见于锁紧螺母的拧紧。
2.7 螺纹滑牙
螺纹连接常常出现螺纹滑牙,造成螺纹滑牙的主要原因有螺纹脱碳:常见现象为装配时感觉扭矩加不上,螺栓拆下后,发现螺纹全部或部分被磨平,以及螺栓螺纹或者螺母孔表面硬度低:内外螺纹尺寸配合:相配合的联接付接触面积小,有两种情况:一是接齿合的螺纹扣数少,二是螺纹与螺纹不在中径以内接触(即精度配合不好,螺栓螺纹和螺母的螺纹接触不够)。同时,在装配方法上如果装配不对孔,强拧也会造成螺纹滑牙;螺纹摩擦系数过小:表面涂层、表面粗糙度、表面润滑剂不合理和螺栓螺纹或者螺纹孔有异物,损坏螺纹以及螺栓跟螺
母的螺距、角唐变异都会导致螺纹滑牙。
三、紧固件失效案例分析
3.1案例描述
2015年3~4月某总装反馈累计5件某车型后减震器固定螺栓在打扭力时缩颈、断裂,如图2所示,该螺栓使用要求扭矩110+/-15 N.m,设备设定值为110 N.m,螺纹规格为M12×1.75-6h,性能等级10.9,表面处理按GMW3359。
图2减震器固定螺栓缩颈、断裂
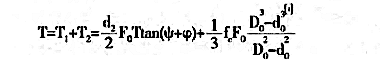
3.2拧紧力矩的构成
螺旋副的拧紧力矩为螺旋副之间的摩擦阻力矩和螺母环形面与被联接件支承面间的摩擦阻力距之和,计算如下公式:
公式中,T为螺母的拧紧力矩;
T¹为螺旋副间的摩擦力矩;T2为螺栓环形面与支承面之间的摩擦阻力距;
F0为预紧力;
对于M10~M64粗牙普通螺纹的钢质螺栓,螺纹升角1°42′-3°2′,螺旋副当量摩擦角ψv=arctan1.155f(f为摩擦系数,无润滑取0.1~0.2);
d2为螺纹中径;
d0为螺栓孔直径,DO为螺母(螺栓)与被联接支承面接触受力的环形外圆直径;
fe为螺母(螺栓)与支承面的摩擦系数。
3.3分析过程
外观检查:断裂螺栓头部支承面有残留黑色油污,油污来源为被联接件安装面被粘到油污。
断裂螺栓尺寸测量:测量断裂螺栓大径φ10.4 mm(未使用的产品实测螺纹大径为φ11.85 mm符合标准),断裂螺栓总长89.8 mm(未使用螺栓实测总长为85.5mm,规定85.9 max),零件其它尺寸未发生异常。
断裂螺栓扭矩记录接近中值,未出现偏上差或超差;图纸硬度要求:32~39 HRC:断裂螺栓实测硬度:36 HRC、35HRC、36 HRC,36 HRC、37HRC,合格;检测断裂螺栓的金相组织未发现异常,如图3所示;抽检在用的2个批次各2件零件检测抗拉强度,结果合格。
抽检在用的2个批次共3件检测摩擦系数:0.13,0.13,0.12,
符合图纸要求0.10~0.16。根据断裂螺栓及抽检螺栓的检测结果,初步判断螺栓零件符合设计要求;结合螺旋副的拧紧力矩分析,初步判定为由于联接面有油污导致摩擦系数降低,在同样装配扭矩情况下,螺栓承受的轴向力增加,导致螺栓断裂。把减震器安装支承面按100%把拭擦干净再装配后,该问题没有再发生





